上 V iEU[ Jbg ¤¢ 131173-A b c d e f g h i j k l n m o p q r s t u v
Economics Mit Edu
A b c d e f g h i j k l n m o p q r s t u v
A b c d e f g h i j k l n m o p q r s t u v-



Mayoclinicproceedings Org



Billions In Misspent Eu Agricultural Subsidies Could Support The Sustainable Development Goals Sciencedirect



Grief Vs Depression Which Is It



French Phonetic Alphabet French Lessons In Paris With Caroline French Courses In Paris



Thais License Docsity



Macaulay Cuny Edu



Lorentz Force Wikipedia



Uvm Edu



Icos In Scientific Publications Icos



Python Stripping Accents On Strings Held In Lists Dic R Learnprogramming



Solved Exercise 6 Let N 0 1 Assume That A B C A C1 2 Such That A 0 0 C 6 2 Show That For Any F G A L 0 There Exists A Unique U



Solved 6 V5 9502 Zt S9 29 01 Aijuks Osn Uaq1 2p313 Hun Uo S Jutod 341 Fiuaa Puw Ppowun 34l A A Pk A 4 Uj V E 287



Vwrpex1fenk6xm



Romanian Alphabet Wikipedia



The Bears From Dmanisi And The First Dispersal Of Early Homo Out Of Africa Scientific Reports



French Phonetic Alphabet French Lessons In Paris With Caroline French Courses In Paris



T Test Definition



C Span Org National Politics History Nonfiction Books



Icos In Scientific Publications Icos



Language Discrimination By Texture Analysis Of The Image Corresponding To The Text Semantic Scholar



Arizona Department Of Health Services



Academic Oup Com



Jstor Org



Sciencedirect Com



Jyryd Papjujqm



Webhome Auburn Edu



Der Waldwerth In Beziehung Auf Veraiusserung Auseinandersetzung Und Entschaidigung Amp C Forests And Forestry Forests And Forestry 270 Ercc Nung Bes Quot Aieriat Vivages T A C Orttmentstafeln Ira Sln Ang I Bea Sosalbtnert A A C Dttin



Billions In Misspent Eu Agricultural Subsidies Could Support The Sustainable Development Goals Sciencedirect



Bauer Uh Edu



Turkish Influenced English Neography



Convention On Migratory Species Synthesis Of National Reports Volume 1 As 3 1 Gt X A O A A L 2 A Lt Ca 5 Cq G Quot 9 O A T



1



Billions In Misspent Eu Agricultural Subsidies Could Support The Sustainable Development Goals Sciencedirect



Billions In Misspent Eu Agricultural Subsidies Could Support The Sustainable Development Goals Sciencedirect



Insects Attacking Fruit Trees Microform Fruit Insect Pests Insectes Nuisibles Fruits 5 S 5 H Sf O A A Fcv W A Go A W 3f A Ts 9 3



European Colloid Interface Society



University Of Alaska Anchorage Dean Acirc Euro Trade S List Acirc Euro Ldquo Fall 16 List University Of Alaska Anchorage Acirc Euro Ldquo Dean Acirc Euro Trade S List Kelsey A Allison University Of Alaska Pdf Document



Music Education A Instruments And Voice Igp



Pdf Statistical Methods For Verifying The Natural Language Stationarity Based On The First Approximation Case Study Printed Romanian Semantic Scholar



Alfabet Codat Pdf



Solved 23 Let V 3i 2j 2k And W 4i 3j K Find Each Of The Following Uj B U X W C A Vector Of Length 5 Parallel To Vector D



Arxiv Org



Mayoclinicproceedings Org



Neutrino Exploit Kit One Flash File To Rule Them All Trustwave Spiderlabs Trustwave



The International Role Of The Euro June 21



Hermes Birkin Bags Crazy Expensive And Worth It Fortune



Espen Org



Faculty Pku Edu Cn



Un Org



E Girls Umtv Vmaj V ɂauinspiration Award Japan V I ɂa11 19 J Aumtv Vmaj The Live V ɏo I E Girls Avexmobile



Romaniantts Com



Jstor Org



Control Series Bulletin Feeds Fertilizers 23 C A A A Ei M O C A A 3 M O Co Oc A A A K U W W A O A 3 V Ht



Y Oure The O Nly T Hing I W Anna T Ouch B U T T T O Y S For Beginners M E N Pr O S T Ate Ma S S Agers G A Y Si Lic On E In Fl A Tabl Eacu V Rd E Xtremely C Ute Sports Fitness Exercise Fitness Avekshahospital Com



Oarsijournal Com



How Willyoudie First Inital Of Your First Name J Suffocated By K Strangled By L Devoured By S Tortured By T F Cked By U Beaten By V Consumed By W Annoyed



Solved Find Fr And Fy Where F T Y R Ylnx Find Zr And Zy Where F C Gly For Functions F G R R Find Df 1 2 3 Where F Y 2 Xy Ryz Find The Linear



Economics Mit Edu



Yishibashi Music Z01 Y T F A



Vietnamese Alphabet Wikipedia



Page 60 العدد 63 مجلة الأدب الإسلامي



The Teaching Of History In Junior And Senior High Schools S E A 3 O O A N B 2 A 9 Gt 2 E A O A 241 S E A M Nj



Pdf Steam Reforming Of Toluene As Model Of Tar Compound Over Mo Catalysts Derived From Hydrotalcites



2a8dup6cvcmrxm



X7w0tkzr6jdmem



Management Of Bleeding And Coagulopathy Following Major Trauma An Updated European Guideline Critical Care Full Text



Bacterial Infections Antimicrobial Therapies Institute For Bioengineering Of Catalonia



E Girls V ȁuso Many Stars V Z M I W P B G ʐ J I E Girls Avexmobile



3



Bulletin Agriculture New Hampshire 18 N H Experiment Station Bulletin 277 S S S U 3 A A Ci O O A A 5 O R Os 2 U C 0



Whats Your Rapper Name First Inital Of Your First Name S Ragz T Balla U Fella V Ice W Bundle X Dip Y Hooker Z Izzle J Money K Thug L Crack



Discordant Neutralizing Antibody And T Cell Responses In Asymptomatic And Mild Sars Cov 2 Infection



Chinese Alphabet



A Comprehensive Review Of Zno Materials And Devices Journal Of Applied Physics Vol 98 No 4



Uroweb Org



Discordant Neutralizing Antibody And T Cell Responses In Asymptomatic And Mild Sars Cov 2 Infection



Lorentz Force Wikipedia



M 点 U A W I C V B V



The Emergence Of Sars Cov 2 In Europe And North America



1



Solved I H4s 6 1 6 2 K8s 6 Pue A Jo Uopouny E Se A Apldw 2 Souyop 0 2 J 0 A N F 4hm Uorouny Eqbua1hip Q 0 N F



Quasi Experimentation Workshops A August 12 Institute For



Clinicalmicrobiologyandinfection Com



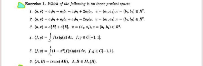
Solved Exercise Which O The Following I An Inuer Product S Nlte S U 0 02b 1b2 62 01 2 61 B2 A R 4 U 01b 0461 0jb 2ozbt 01 04 B A R



Solved Enjen Ble N T P 47 Eined And 44 Q L Isokrmal Isobaiic Consfraix Equatioms 4ve U V I A 4 59e A 39 J 6 6 24 8ex Naj A Skew T 44



European Colloid Interface Society



Unveiling Gymnosporangium Corniforme G Unicorne And G A Niitakayamense Sp Nov In Taiwan



The Emergence Of Sars Cov 2 In Europe And North America



The Emergence Of Sars Cov 2 In Europe And North America



Springfield Primary Academy



Mrna Vaccines A New Era In Vaccinology Nature Reviews Drug Discovery



Cke0q8 Eo2qxpm



Operator Theory Advances And Dimensional System Theory Literature See 71 46 A Function Theory Pdf Document



Who Int



Pal Wikipedia



Greatgrandmother Singleton Newspapers Com



Yishibashi Music Z01 Y T F A



Binasss Sa Cr



Alfabet Codat Pdf



Discordant Neutralizing Antibody And T Cell Responses In Asymptomatic And Mild Sars Cov 2 Infection



Freebookbd Galpo Samagra By Rabindranath Freebookbd Com Page 1666 1667 Created With Publitas Com



Inari Sami Anaraskiela Is An Eastern Sami Language Spoken In The Municipality Of Inari In Finland By About 300 Speakers 269 Of Whom Alphabet Inari Language



Clopidogrel And Aspirin Versus Aspirin Alone For The Prevention Of Atherothrombotic Events Nejm



Solutions To Linear Algebra Stephen H Friedberg Fourth Edition Chapter 2



Vwrpex1fenk6xm


コメント
コメントを投稿